Italian Vespa Parts Books


Vespa P125X & P200E Parts Book

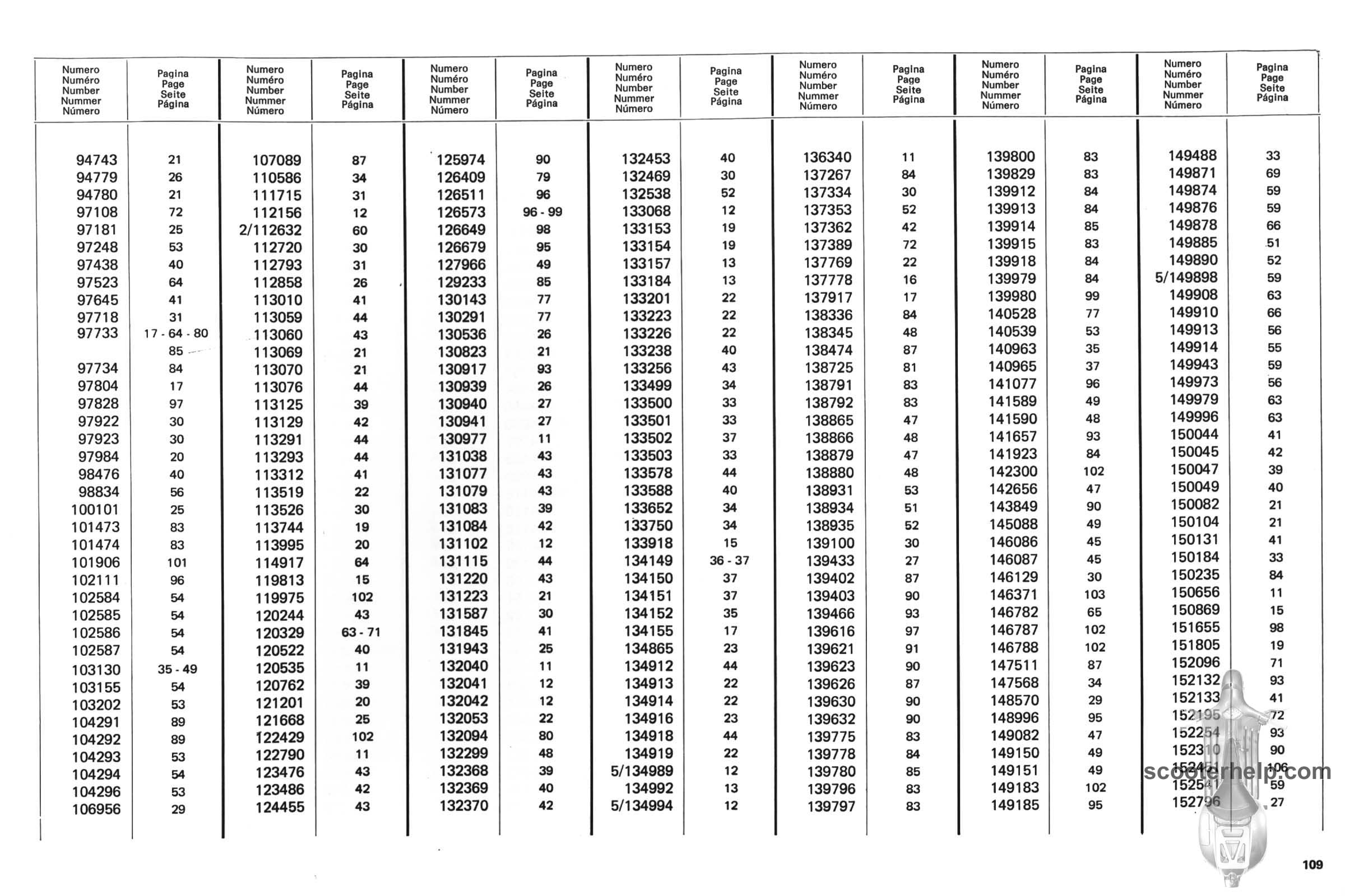
Click individual pages below for a 8"x12" 200 DPI page. These are from the original Vespa parts book for service centers & shops. Files sizes are about 400K for a color page and 200K for a black and white. This manual is in Italian, English, French, German, and Spanish. The whole book is here with an addendum for the PX125E and PX200E

Or click here for a 19.8 MB PDF file.

 Get P Series Parts Here

Addendum - locking cowls, electronic ignition for PX125 & PX150, and front axle changes.